HOME
ABOUT
BOARDS/COMMISSIONS
DEPARTMENTS
ADMINISTRATION
COMMUNITY DEVELOPMENT
EMERGENCY MEDICAL SERVICES
ENGINEERING
ENVIRONMENTAL ADVISORY COUNCIL
CODES AND PERMITS
FIRE DEPARTMENTS
PUBLIC WORKS
POLICE DEPARTMENT
SEWAGE ENFORCEMENT OFFICER
TAX COLLECTION
RESOURCES
2026 ROBESON TOWNSHIP FEE SCHEDULE
2026 ROBESON TOWNSHIP BUDGET
911 REFLECTIVE ADDRESS SIGNS
CITIZENS GUIDE TO PENNSYLVANIA GOVERNMENT
COMPLAINT FORM
SOUTHERN BERKS JOINT COMPREHENSIVE PLAN
MEETING MINUTES & AGENDAS
RESOLUTIONS
ORDINANCES
OPEN RECORDS
PARKS AND RECREATION APPLICATIONS
PERMIT APPLICATIONS
SEPTIC PERMIT REQUIREMENTS
SEWAGE MANAGEMENT PROGRAM
SOLICITATION PERMIT HOLDERS
STORMWATER MANAGEMENT (MS4)
ZONING MAP
NEWS/EVENTS
ZONING HEARING BOARD
JOB OPPORTUNITIES
BUY/SELL BID OPPORTUNITIES
CONTACT
COMMUNITY CALENDAR
HOME
ABOUT
BOARDS/COMMISSIONS
DEPARTMENTS
ADMINISTRATION
COMMUNITY DEVELOPMENT
EMERGENCY MEDICAL SERVICES
ENGINEERING
ENVIRONMENTAL ADVISORY COUNCIL
CODES AND PERMITS
FIRE DEPARTMENTS
PUBLIC WORKS
POLICE DEPARTMENT
SEWAGE ENFORCEMENT OFFICER
TAX COLLECTION
RESOURCES
2026 ROBESON TOWNSHIP FEE SCHEDULE
2026 ROBESON TOWNSHIP BUDGET
911 REFLECTIVE ADDRESS SIGNS
CITIZENS GUIDE TO PENNSYLVANIA GOVERNMENT
COMPLAINT FORM
SOUTHERN BERKS JOINT COMPREHENSIVE PLAN
MEETING MINUTES & AGENDAS
RESOLUTIONS
ORDINANCES
OPEN RECORDS
PARKS AND RECREATION APPLICATIONS
PERMIT APPLICATIONS
SEPTIC PERMIT REQUIREMENTS
SEWAGE MANAGEMENT PROGRAM
SOLICITATION PERMIT HOLDERS
STORMWATER MANAGEMENT (MS4)
ZONING MAP
NEWS/EVENTS
ZONING HEARING BOARD
JOB OPPORTUNITIES
BUY/SELL BID OPPORTUNITIES
CONTACT
COMMUNITY CALENDAR
PARKS AND RECREATION APPLICATIONS
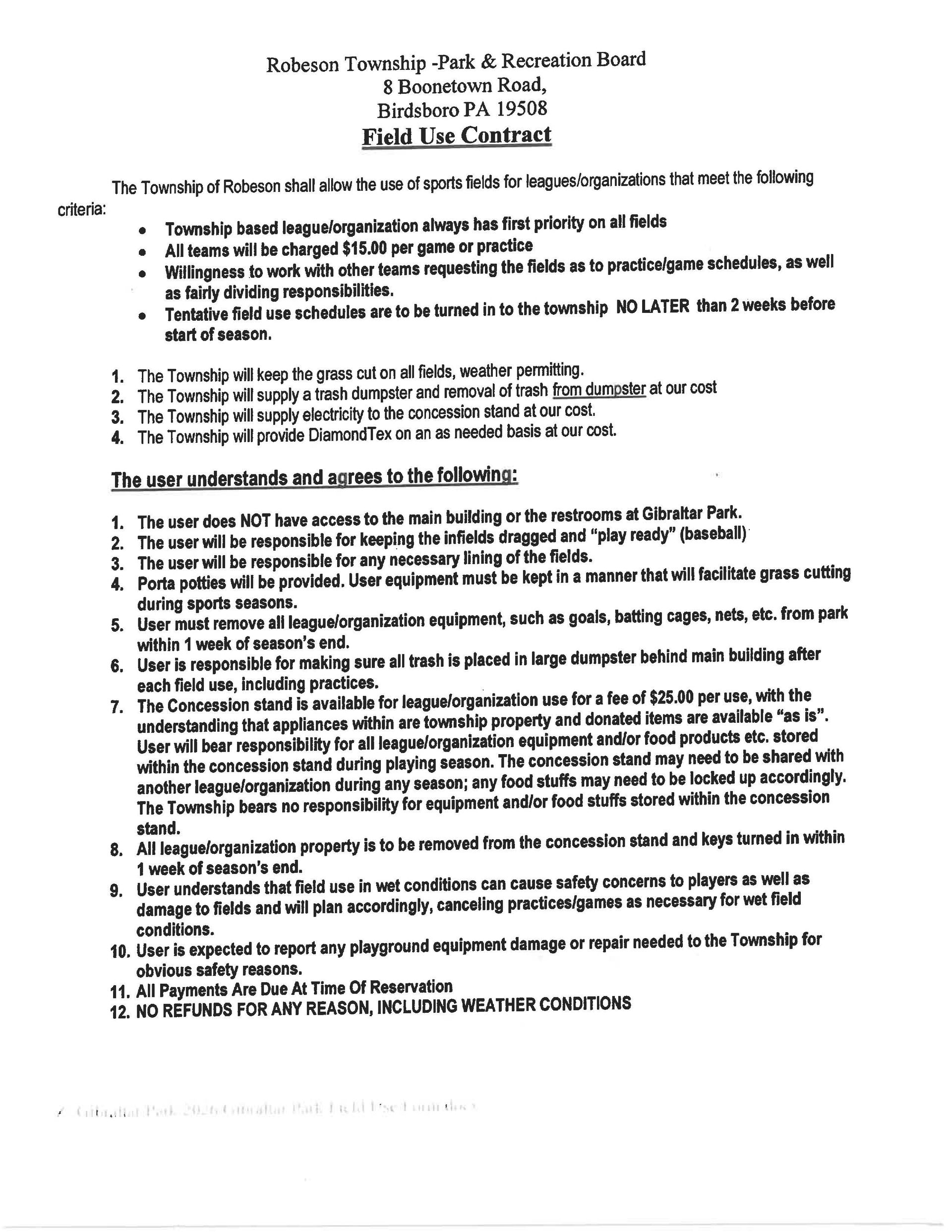
Ball Field Application
Write a short description.
View & Download
GP Pavilion Application
Write a short description.
View & Download
Township Office, Open 8:00 am to 4:00 pm
Monday through Friday
8 Boonetown Road
Birdsboro, PA 19508
Email:
contact@robesontownship.com
Phone: (610) 582-4636
FAX: (610) 582-0032
Contact the Webmaster with any problems with this website.
Copyright © Robeson Township, Berks County 2026
Police Department
Emergency Dial: 911
Non-Emergency Police, Fire, Rescue
:
(610) 655-4911
E-mail: Acting Chief Rimby:
jrimby@robesontownship.com
Police Office: (610) 582-4276
Fax: (610) 404-1948
Share by: